解決方案
- 聯系地址:廣東省廣州市天河區科新路優可商務中心B棟3樓
- 服務熱線:400 605 3393
- 聯系電話:020-85550388 (10線) 020-85550288
- 傳真電話:020-85557779
申甌企業客服呼叫中心解決方案
發表時間:2021年05月18日瀏覽量:

I 客戶服務中心指什么?
客戶服務中心是一個內涵豐富的概念,又稱為呼叫中心(Call Center)或電話營銷(Telemarketing),是現代化企業提高綜合競爭能力的手段之一,它真正的含義應該是:基于CTI技術,充分利用通信網和計算機網的多項功能集成并與企業連為一體的一個完整的綜合信息服務系統。
I 企業客戶為何流失?
傳統行業靠什么留住老客戶和吸引新客戶?為什么競爭對手看起來越來越了解客戶,他們推出的新品總是能很快地打開市場?我們的產品/服務品質幾乎跟別人不相上下,但還是吸引不到更多的客戶? 種種的事實,都在說明一個問題:那就是如今的競爭,不僅僅是產品之間的競爭,更是服務之間的競爭。甚至,在某些情況下,服務已經可以成長為企業的一種核心優勢。
I 如何提升企業客戶服務?
申甌客服呼叫中心解決方案,致力于幫助企業打造服務競爭優勢,并且將為促使企業客服中心向利潤中心轉變而不懈努力。申甌“完美客服”呼叫中心解決方案通過呼叫中心的基礎應用為企業搭建多維立體溝通環境,建立客戶群體對企業的信賴,進而提升客戶滿意度和忠誠度。
系統主界面:

解決方案特點
申甌客服呼叫中心解決方案,在設計中重點考慮整合支撐企業與客戶的電話溝通渠道和服務流程(咨詢、投訴、建議、服務確認、滿意度調查、服務回訪等),并能針對企業的不同特點采用集中座席或集中與分布座席相結合等不同的方式,使得呼叫中心能夠地成為企業與客戶溝通的統一的服務窗口,幫助企業打造全面通暢的客戶溝通體驗。
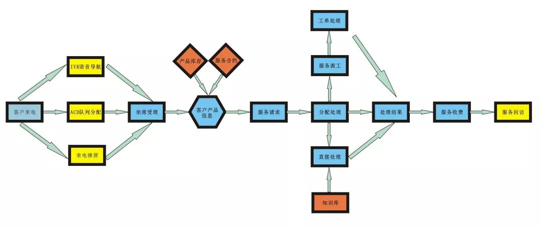
方案流程圖:

系統功能:
? IVR自動語音導航功能
客戶撥打客戶服務電話,系統會自動進行IVR自動語音應答,播報相應的歡迎詞和語音引導提示。客戶根據自己的需求進行選擇(如服務投訴請按1,產品介紹請按2......),然后轉接到相應技能的座席或座席組處理。
? ACD智能排隊功能
自動話務分配功能是合理地安排話務員資源,自動將呼叫分配給最合適坐席進行處理。系統能夠實時跟蹤話務臺狀態,生成有效話務隊列,分配隊列處理能力,充分地利用系統資源,提高系統處理能力。
? 隊列管理功能
系統對客戶的來電實行自動的話務分配,在座席客服全忙的情況下。系統可以將來電進入等待隊列,系統提供多種智能隊列管理服務。在隊列中等待的客戶會聽到系統的問候語,同時播報來電人所處的隊列位置。如果來電人在隊列中等待太久,系統會根據預先設置好的路由方式,將來電轉接到相應的位置,如其他工作組、IVR、外線、語音信箱等。來電客戶也可以主動退出隊列。
? 座席功能
座席不需要記住復雜的話機指令,電話接聽、電話轉接、電話保持、電話代接等直接在電腦上鼠標拖拽實現。班長座席或管理人員可以通過清晰的監控界面對所有座席的通話狀況一目了然。可以對所有通話進行監聽、錄音、強轉、強插、中斷等特權管理;可以分析實時統計話務量、話務流水,查詢和管理系統錄音;對坐席、座席組進行分類等。
? 來電彈屏功能
當客戶來電時,會在電腦上彈出該客戶的相應資料,不僅包括客戶的基本信息,還包括客戶的客戶資產信息,歷史服務信息等全方位信息即刻展現。
? 錄音功能
系統本身具有錄音資源,可實現對所有來電、去電實時錄音。用戶可以靈活設定對所有電話的錄音規則。系統提供對電話錄音的備份、系統提供對電話錄音的備份、下載、回放等。呼叫中心管理人員可以隨時檢查座席人員的電話服務質量,提升電話營銷人員的服務水平。
? 客戶資產功能
客戶購買的需要后續服務的產品。可能直接/間接由本企業供應,也可能是來自第三方供應商。產品保修信息,包括產品的保修開始日期,結束日期,產品序列號等。通過呼叫中心系統的來電彈屏客戶資料功能,快速定位客戶所報修產品是否在保修期內,以及歷史維修信息等。
? 服務請求受理
服務請求旨在負責企業的售中、售后的服務過程和售前的產品咨詢。針對客戶購買的產品進行技術咨詢、故障援助,也是客戶尋求服務人員解決問題的一個窗口。服務請求不僅適用于銷售企業,也是第三方服務提供商的理想解決方案。
? 服務派工
派工單系統是CRM服務管理模塊的一部分,適用于各行業需外派人員的現場服務。當坐席服務人員接受到客戶的服務請求,通過CRM系統來實現派工分配,現場服務人員在收到系統短信通知后,可以生成派工單,指派維修人員,維修人員持派工單上門服務。
? 服務合約
指企業與客戶之間簽訂的具有服務性質的契約:售后服務保修/維護合約、客戶委托運輸的運單、客戶委托貨品出口的報關單等。座席人員受理客戶問題時,可以通過服務合約來確定是否在保修期內。
? 服務收費
解決企業在服務過程中產生的各種收費信息,服務收費來源于服務合約和服務派工。
? 服務回訪
通過回訪記錄對逐條回訪來檢查客服人員的服務情況;洞察客戶問題和對企業整體服務的意見,評估企業員工的工作能力并增強其責任感;通過回訪充分了解客戶對不同產品和服務的關注程度。
系統拓撲圖







